產品介紹 | PRODUCTS
聯(lián)系我們 | CONTACT US
- 銷售熱線:0632-5113088
- 銷售熱線:0632-5113088
您所在的位置首頁 >>
產品介紹 >>
有機膦系列阻垢緩蝕劑、螯合劑 >>
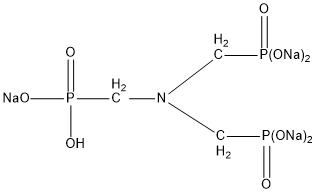
氨基三甲叉膦酸五鈉 ATMP·Na5產品介紹
氨基三甲叉膦酸五鈉 ATMP·Na5
Penta sodium salt of Amino Trimethylene Phosphonic Acid (ATMP·Na5)
別名:氨基三亞甲基膦酸五鈉 CAS No. 2235-43-0(5-Na),20592-85-2(x-Na)
分子式 C3H7NO9P3Na5 相對分子質量:409
一、性能與用途:
ATMP·Na5是ATMP的鈉鹽溶液,可阻止水中成垢鹽類形成水垢,特別是碳酸鈣垢的形成。 ATMP·Na5用于鍋爐水處理、油田回注水系統(tǒng)、工業(yè)和市政清潔水處理及冷卻水處理的金屬緩蝕。ATMP·Na5作為通用型低成本阻垢劑,對鋅鹽及磷酸鹽有較好的緩蝕作用,螯合性能較好。
二、技術指標
| 項 目 | 指 標 |
| HG/T 4328-2012 | |
| 外 觀 | 無色或淡黃色透明液體 |
| 活性組分(以ATMP計) /% | ≥28.0 |
| 活性組分(以ATMP·Na5計) /% | ≥38.3 |
| 氯化物 (以Cl-計) /% | ≤1.0 |
| pH值(1%水溶液) | 10.0~11.0 |
| 密度(20℃)/g·cm-3 | 1.38~1.48 |
| Fe含量(以Fe計) /mg·L-1 | ≤10.0 |
三、使用方法
ATMP·Na5與其它有機磷酸、聚羧酸或鹽等復配成有機堿性水處理劑,用于各種不同水質條件下的循環(huán)冷卻水系統(tǒng)。
四、包裝與貯存
ATMP·Na5用塑料桶包裝,每桶30Kg 或250Kg,也可根據用戶需要確定。貯于室內陰涼處,貯存期十二個月 。
五、安全防護
ATMP·Na5為弱堿性,操作時注意勞動保護,應避免與皮膚、眼睛等接觸,接觸后用大量清水沖洗。
銷售熱線:0632-5113088 銷售傳真: 0632-5113155
地址:山東省棗莊市市中區(qū)十里泉東路1號 網址:http://m.senyids.com E-mail:th@thwater.com
版權所有© :2006-2021 山東泰和科技股份有限公司 魯ICP備09091669號-43
地址:山東省棗莊市市中區(qū)十里泉東路1號 網址:http://m.senyids.com E-mail:th@thwater.com
版權所有© :2006-2021 山東泰和科技股份有限公司 魯ICP備09091669號-43


